Задать свой вопрос
*более 50 000 пользователей получили ответ на «Решим всё»
Задача 17193
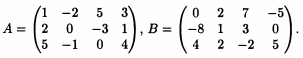
Найдите линейную комбинацию матриц...
Условие
slava191
03.09.2017
Найдите линейную комбинацию матриц 4A-7B.
математика ВУЗ
5884
Решение
Ответ:
В решение
Написать комментарий
Меню
Решим всё
Найти задачу
Категории
Статьи
Тесты
Архив задач
Присоединяйся в ВК