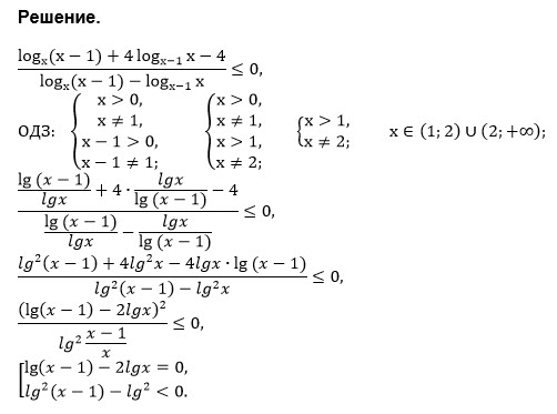
{x-1 > 0
{x > 0
{x-1 ≠ 1
{x ≠ 1
x ∈ (1;2)U(2:+ бесконечность )
Замена переменной:
log_(x)(x-1)=t,
тогда
log_(x-1)x=1/t,
t≠ 0.
Неравенство принимает вид
(t+(4/t)-4)/(t-(1/t)) меньше или равно 0
Упрощаем
((t^2-4t+4)*t)/(t*(t^2-1)) меньше или равно 0
Применяем метод интервалов:
Нули числителя:
t=0; t=2
Нули знаменателя
t=-1;t=0; t=1
Расставляем знаки:
При t=10 знак +
Знаки чередуем справа налево, учитывая, что при переходе через точку 2 и точку 0 знаки не меняются.
_+__ (-1) _-__ (0) _-__ (1) _+__ [2] __+__
-1 < t < 0 или 0 < t < 1 или t=2
Обратная замена:
-1 < log_(x)(x-1) < 0 или 0 < log_(x)(x-1) < 1 или log_(x)(x-1) =2
1)-1 < log_(x)(x-1) < 0
равносильно системе неравенств
{ log_(x)(x-1) < 0
{ log_(x)(x-1) > -1
{ log_(x)(x-1) < log_(x)1
{ log_(x)(x-1) > log_(x)(1/x)
Применяем метод рационализации
{(x-1)(x-1-1) < 0
{(x-1)(x-1-(1/x)) > 0
{(x-1)(x-2) < 0 ⇒ x∈(1;2)
{(x-1)((x^2-x-1)/x) > 0 ⇒ x∈(- бесконечность: 1-sqrt(5)/2)U(0;1)U(1+sqrt(5)/2;+ бесконечность )
Множества решений первого и второго неравенств не пересекаются.
Система не имеет решений
2) 0 < log_(x)(x-1) < 1
равносильно системе неравенств
{ log_(x)(x-1) < 1
{ log_(x)(x-1) > 0
{ log_(x)(x-1) < log_(x)х
{ log_(x)(x-1) > log_(x)1
Применяем метод рационализации
{(x-1)(x-1-х) < 0
{(x-1)(x-1-1) > 0
{(x-1)*(-1) < 0 ⇒ x∈(1;+ бесконечность )
{(x-1)(x-2) > 0 ⇒ x∈(- бесконечность; 1)U(2;+ бесконечность )
С учетом ОДЗ получаем
О т в е т. 2) (2;+ бесконечность )
3)
log_(x)(x-1) =2
x-1=x^2
x^2-x+1=0
D=1-4 < 0
уравнение не имеет корней
Решение данного неравенства - объединение ответов 1)-3)
О т в е т. (2;+ бесконечность )
