Задать свой вопрос   *более 50 000 пользователей получили ответ на «Решим всё»

Задача 16796 Решите неравенство...

Условие

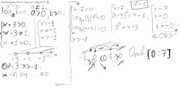
Решите неравенство (x-7)log(x+3)(x+1)*log3(x+3)^3 меньше или равно 0

математика 10-11 класс 18650

Решение

Ответ: [0;7]

Все решения


ОДЗ:
{x+1 > 0;
{x+3 > 0; x+3≠1
ОДЗ: х∈(-1;+бесконечность)

Применяем формулу перехода к другому основанию:
log_(x+3)(x+1)=log_(3)(x+1)/log_(3)(x+3).
По формуле логарифма степени
log_(3)(x+3)^3=3log_(3)(x+3).

Неравенство принимает вид:

(x-7)*log_(3)(x+1)*3*log_(3)(x+3)/log_(3)(x+3) меньше или равно 0;
log_(3)(x+3)≠0 ⇒ x≠-2 - не входит в ОДЗ.
Применяем обобщенный метод интервалов.
Находим нули числителя.
х-7=0 или log_(3)(x+1)=0
x=7 или х=0
___ (-1) _+__ [0] ___-____ [7] __+___

О т в е т. [0;7]

Написать комментарий

Меню

Присоединяйся в ВК