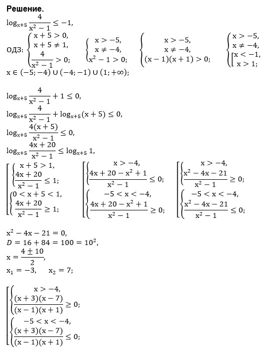
{x+5 > 0 ⇒ x > -5
{x+5≠1 ⇒ x≠ -4
{4/(x^2-1) > 0⇒ x^2-1 > 0
x∈(-5;-4)U(-4;-1) U(1;+ бесконечность)
Перепишем неравенство в виде:
log_(x+5)(4/(x^2-1)) меньше или равно -log_(x+5)(x+5)
или
log_(x+5)(4/(x^2-1)) меньше или равно log_(x+5)(x+5)^(-1)
log_(x+5)(4/(x^2-1)) меньше или равно log_(x+5)(1/(x+5))
Применяем метод рационализации для случая
log_(h)f меньше или равно log_(h)g, которое сводится к неравенству
(h-1)*(f-g) меньше или равно 0
(х+5-1)*((4/(x^2-1))-(1/(x+5)) меньше или равно 0
(х+4)*(-x^2+4x+21)/(x-1)(x+1)(x+5) меньше или равно 0
(x+4)(x+3)(x-7)/(x-1)(x+1)(x+5) больше или равно 0
_+_ (-5) _-_ [-4] _+_ [-3] __-__ (-1) __+__ (1) ___-__ [7] _+__
C учетом ОДЗ получаем о т в е т.
(-4;-3]U[7;+ бесконечность)
