Задать свой вопрос   *более 50 000 пользователей получили ответ на «Решим всё»

Задача 1671 Решите систему...

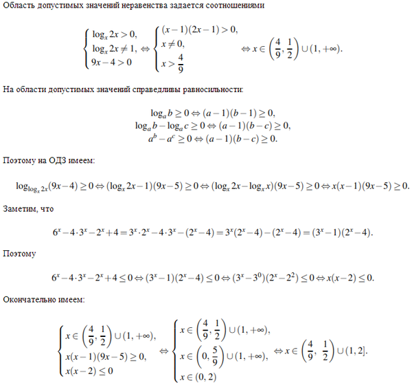
Условие

Решите систему system{log(log(x)2x)(9x-4) больше или равно 0; 6^x-4*3^x-2^x+4 меньше или равно 0}

математика 10-11 класс 11572

Решение



Ответ: В решение

Написать комментарий

Меню

Присоединяйся в ВК