Задать свой вопрос   *более 50 000 пользователей получили ответ на «Решим всё»

Задача 16670 Областью определения функции...

Условие

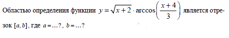
Областью определения функции y=sqrt(x+2)*arccos((x+4)/3) является отрезок [a, b], где a=?, b=?

математика ВУЗ 1028

Решение

{x+2 больше или равно 0;
{-1 меньше или равно (х+4)/3 меньше или равно 1.

{x больше или равно -2;
{-3 меньше или равно х+4 меньше или равно 3.

{x больше или равно -2;
{-7 меньше или равно х меньше или равно -1.
О т в е т. [-2;-1]

Написать комментарий

Меню

Присоединяйся в ВК