Задать свой вопрос
*более 50 000 пользователей получили ответ на «Решим всё»
Задача 16606
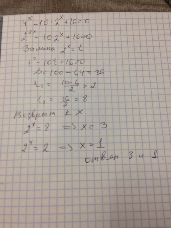
4^x-10*2^x+16=0...
Условие
u188162228225
21.06.2017
4^x-10*2^x+16=0
предмет не задан
5275
Решение
marica
22.06.2017
★
Написать комментарий
Меню
Решим всё
Найти задачу
Категории
Статьи
Тесты
Архив задач
Присоединяйся в ВК