Задать свой вопрос
*более 50 000 пользователей получили ответ на «Решим всё»
Задача 16557
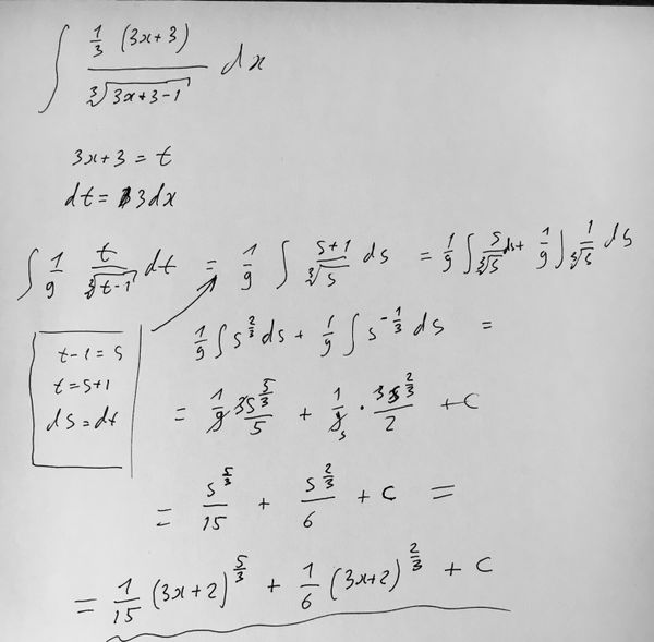
Найти интеграл (x+1) / корень 3ей...
Условие
Matematica
18.06.2017
Найти интеграл (x+1) / корень 3ей степени из (3x+2) dx
математика ВУЗ
2638
Решение
Slava191
18.06.2017
★
Сердечно изменяюсь за плохой почерк
Написать комментарий
Меню
Решим всё
Найти задачу
Категории
Статьи
Тесты
Архив задач
Присоединяйся в ВК