Задать свой вопрос
*более 50 000 пользователей получили ответ на «Решим всё»
Задача 1655
Во сколько раз скорость пули в середине...
Условие
slava191
30.07.2014
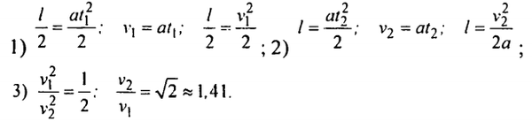
Во сколько раз скорость пули в середине ствола ружья меньше, чем при вылете из ствола?
физика 10-11 класс
8744
Решение
Ответ:
1.41
Написать комментарий
Меню
Решим всё
Найти задачу
Категории
Статьи
Тесты
Архив задач
Присоединяйся в ВК