Задать свой вопрос   *более 50 000 пользователей получили ответ на «Решим всё»

Задача 1654 При аварийном торможении автомобиль,...

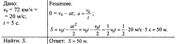
Условие

При аварийном торможении автомобиль, движущийся со скоростью 72 км/ч, остановился через 5 с. Найти тормозной путь.

физика 10-11 класс 27903

Решение



Ответ: 50 м

Написать комментарий

Меню

Присоединяйся в ВК