Задать свой вопрос
*более 50 000 пользователей получили ответ на «Решим всё»
Задача 16516
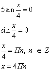
Как решить управление 5sinx/4=0...
Условие
vk226350617
15.06.2017
Как решить управление 5sinx/4=0
математика 10-11 класс
1127
Решение
Geniys
15.06.2017
★
Написать комментарий
Меню
Решим всё
Найти задачу
Категории
Статьи
Тесты
Архив задач
Присоединяйся в ВК