Задать свой вопрос   *более 50 000 пользователей получили ответ на «Решим всё»

Задача 16481 Найдите точку максимума функции...

Условие

Найдите точку максимума функции y=ln(x+5)^5-5x

математика 10-11 класс 48303

Решение

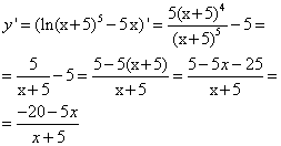
1)(см картинку)
x≠5
-20-5x=0
x=-4 -точка максимума (см рисунок 2)
Ответ: -4

Ошибки в решение (3)

Написать комментарий

Меню

Присоединяйся в ВК