Задать свой вопрос   *более 50 000 пользователей получили ответ на «Решим всё»

Задача 16480 Найдите значение выражения ...

Условие

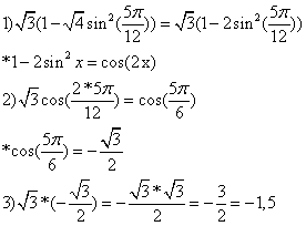
Найдите значение выражения sqrt(3)-sqrt(12)sin^2(5Pi/12)

математика 10-11 класс 45196

Решение

См рисунок
Ответ : -1,5

Вопросы к решению (1)

Написать комментарий

Меню

Присоединяйся в ВК