Задать свой вопрос   *более 50 000 пользователей получили ответ на «Решим всё»

Задача 16405 ...

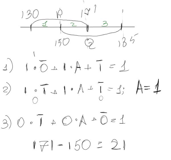
Условие

На числовой прямой даны два отрезка: P = [130; 171] и Q = [150; 185].
Укажите наименьшую возможную длину такого отрезка A, что формула
(x ∈ P) → (((x ∈ Q) /\ ¬(x ∈ A)) → ¬(x ∈ P))
истинна при любом значении переменной х, т.е. принимает значение 1
при любом значении переменной х.

КИМ ЕГЭ 2017 (досрочный период)

информатика 10-11 класс 12014

Решение

Пусть (x ∈ P) = P
(x ∈ Q) =Q
(x ∈ A)=A
P→ (Q*¬A)→ ¬P
A→B=¬A+B
¬(¬P+(Q*¬A))+¬P
P*(¬Q+A)+¬P=1
закон дистрибутивности A(B+C)=AB+AC
¬QP+AP+¬P=1
(Продолжение на рисунке)


Ответ: 21

Написать комментарий

Меню

Присоединяйся в ВК