Задать свой вопрос   *более 50 000 пользователей получили ответ на «Решим всё»

Задача 16305 ...

Условие

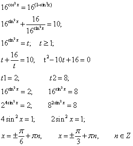
А) Решите уравнение 16^(sin^2x)+16^(cos^2x)=10
Б) Укажите все корни этого уравнения, принадлежащие отрезку[-π/2;π]

математика 10-11 класс 12856

Решение



Ответ: a) x=-π/6+πn, n принадлежит Z; x=π/6+πn; x=π/3+πn, -π/3+πn б)-π/6, π/6, 5π/6, 2π/3

Ошибки в решение (1)

Написать комментарий

Меню

Присоединяйся в ВК