Задать свой вопрос   *более 50 000 пользователей получили ответ на «Решим всё»

Задача 16224 13) log4(2^(2x)-sqrt(3)cosx-6sin^2x)=x...

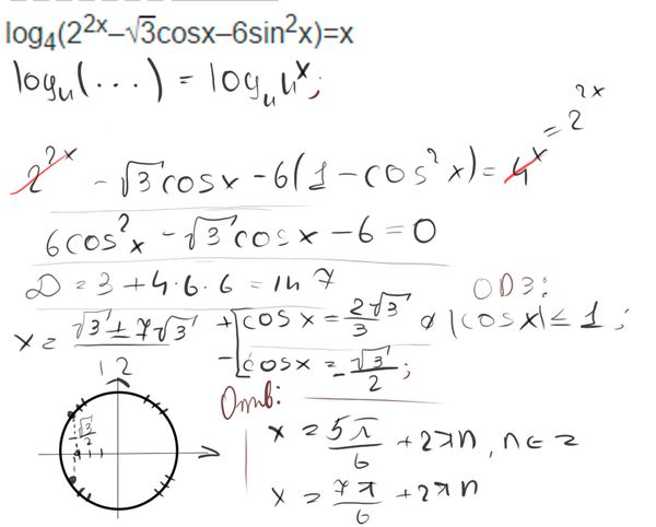
Условие

13) log4(2^(2x)-sqrt(3)cosx-6sin^2x)=x

математика 10-11 класс 43129

Решение

На картинке решение.

Вопросы к решению (1)

Написать комментарий

Меню

Присоединяйся в ВК