Задать свой вопрос
*более 50 000 пользователей получили ответ на «Решим всё»
Задача 16221
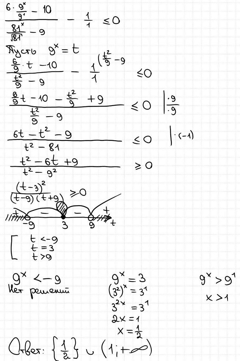
(6*9^(x-1)-10) / (81^(x-1/2)-9) меньше...
Условие
slava191
02.06.2017
(6*9^(x-1)-10) / (81^(x-1/2)-9) меньше или равно 1
математика 10-11 класс
8008
Решение
Решение от vk.com/shkolapifagora
Написать комментарий
Меню
Решим всё
Найти задачу
Категории
Статьи
Тесты
Архив задач
Присоединяйся в ВК