Задать свой вопрос   *более 50 000 пользователей получили ответ на «Решим всё»

Задача 1620 В правильной треугольной пирамиде МАВС с...

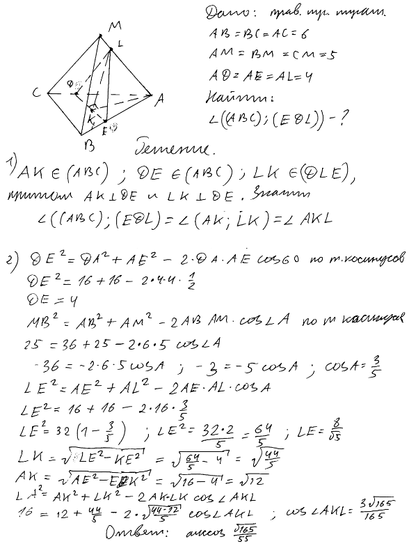
Условие

В правильной треугольной пирамиде МАВС с основанием АВС сторона основания равна 6, а боковое ребро равно 5. На ребре АС находится точка D, на ребре АВ находится точка Е, а на ребре АМ — точка L. Известно, что AD = AE = AL = 4. Найдите угол между плоскостью основания и сечением пирамиды плоскостью, проходящей через точки E, D, L.

математика 10-11 класс 19980

Решение



Ответ: arccos sqrt(165)/55

Вопросы к решению (1)

Все решения

СD=BE=LM=4, ЗАДАЧА ЖЕ РЕШЕНА ДЛЯ AD=BM=CM=4

Написать комментарий

Меню

Присоединяйся в ВК