Задать свой вопрос   *более 50 000 пользователей получили ответ на «Решим всё»

Задача 1619 a) Решите уравнение...

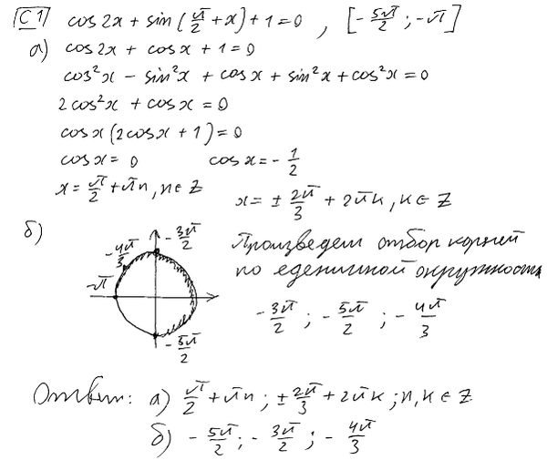
Условие

a) Решите уравнение cos2x+sin(Pi/2+x)+1=0
б) Найдите все корни этого уравнения, принадлежащие отрезку [-5Pi/2;-Pi]

математика 10-11 класс 68420

Решение



Ответ: a) Pi/2+Pin; +-2Pi/3+2Pik; б) -5Pi/2; -3Pi/2; -4Pi/3

Написать комментарий

Меню

Присоединяйся в ВК