Задать свой вопрос
*более 50 000 пользователей получили ответ на «Решим всё»
Задача 16152
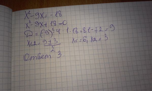
Найдите корень уравнения x^2-9x=-18....
Условие
slava191
31.05.2017
Найдите корень уравнения x^2-9x=-18. Если корней несколько, укажите наименьший. .
математика 10-11 класс
12832
Решение
vk373384374
01.06.2017
★
Написать комментарий
Меню
Решим всё
Найти задачу
Категории
Статьи
Тесты
Архив задач
Присоединяйся в ВК