Задать свой вопрос   *более 50 000 пользователей получили ответ на «Решим всё»

Задача 1607 а) Решите уравнение...

Условие

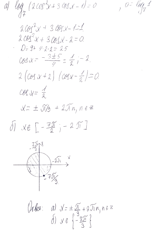
а) Решите уравнение log7(2cos^2x+3cosx-1)=0.
б) Найдите все корни этого уравнения, принадлежащие отрезку [-7Pi/2;-2Pi].

математика 10-11 класс 53599

Решение



Ответ: а) +-Pi/3+2Pin б) -7Pi/3

Написать комментарий

Меню

Присоединяйся в ВК