Задать свой вопрос
*более 50 000 пользователей получили ответ на «Решим всё»
Задача 15801
Куда нужно подставлять, чтобы получить...
Условие
u9515313181
15.05.2017
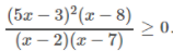
Куда нужно подставлять, чтобы получить плюсы и минусы на числовой прямой?
предмет не задан
1129
Решение
slava191
16.05.2017
★
В это неравенство
Написать комментарий
Меню
Решим всё
Найти задачу
Категории
Статьи
Тесты
Архив задач
Присоединяйся в ВК