Задать свой вопрос
*более 50 000 пользователей получили ответ на «Решим всё»
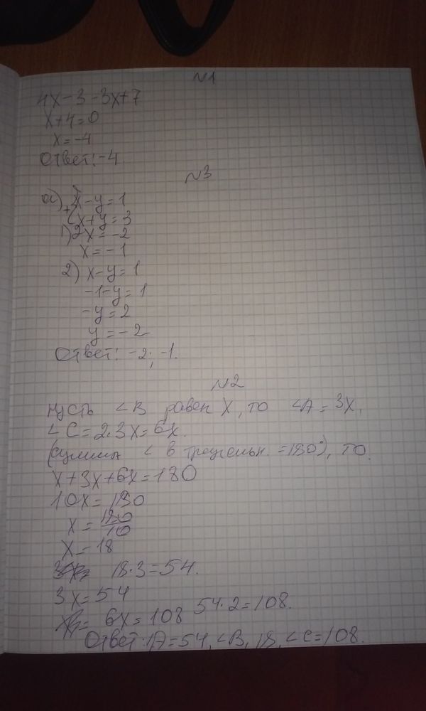
Задача 15636
4x-3=3x+7...
Условие
vk152194161
09.05.2017
4x-3=3x+7
математика 6-7 класс
1289
Все решения
vk373384374
09.05.2017
Написать комментарий
Меню
Решим всё
Найти задачу
Категории
Статьи
Тесты
Архив задач
Присоединяйся в ВК