Задать свой вопрос
*более 50 000 пользователей получили ответ на «Решим всё»
Задача 15306
...
Условие
slava191
25.04.2017
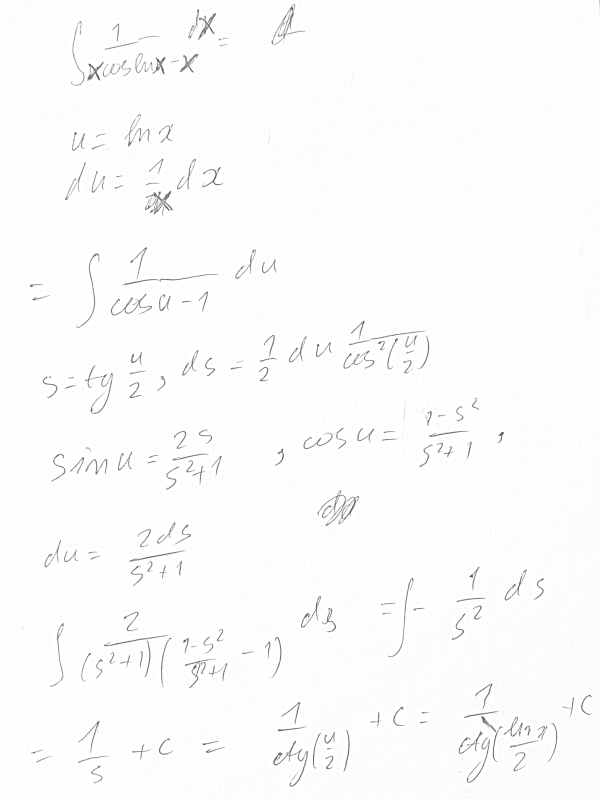
Взять интеграл ∫dx/(xcos(lnx)-x)
математика ВУЗ
975
Решение
Ответ:
В решение
Написать комментарий
Меню
Решим всё
Найти задачу
Категории
Статьи
Тесты
Архив задач
Присоединяйся в ВК