Задать свой вопрос
*более 50 000 пользователей получили ответ на «Решим всё»
Задача 15305
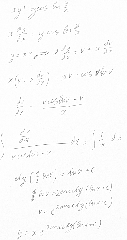
xy'=ycosln(y/x) решить дифференциальное...
Условие
slava191
25.04.2017
xy'=ycosln(y/x) решить дифференциальное уравнение
математика ВУЗ
1997
Решение
Ответ:
В решение
Написать комментарий
Меню
Решим всё
Найти задачу
Категории
Статьи
Тесты
Архив задач
Присоединяйся в ВК