Задать свой вопрос
*более 50 000 пользователей получили ответ на «Решим всё»
Задача 15304
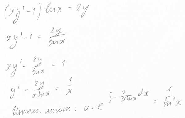
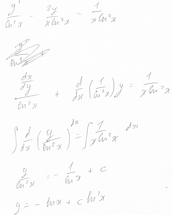
(xy'-1)lnx=2y решить дифференциальное...
Условие
slava191
25.04.2017
(xy'-1)lnx=2y решить дифференциальное уравнение
математика ВУЗ
7926
Решение
Ответ:
y=-lnx+cln^2x
Написать комментарий
Меню
Решим всё
Найти задачу
Категории
Статьи
Тесты
Архив задач
Присоединяйся в ВК