Задать свой вопрос   *более 50 000 пользователей получили ответ на «Решим всё»

Задача 15235 а) Решите уравнение...

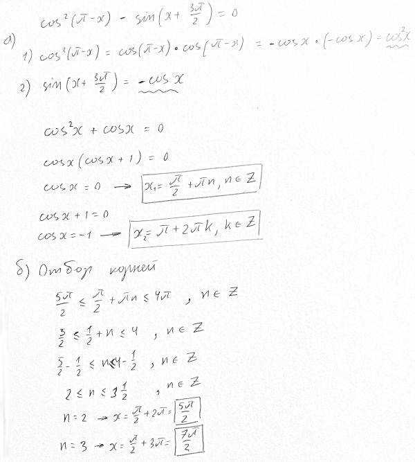
Условие

а) Решите уравнение cos^2(Pi-x)-sin(x+3Pi/2)=0

б) Укажите корни этого уравнения, принадлежащие отрезку [5Pi/2; 4Pi]

математика 10-11 класс 40953

Решение



Ответ: В решение

Написать комментарий

Меню

Присоединяйся в ВК