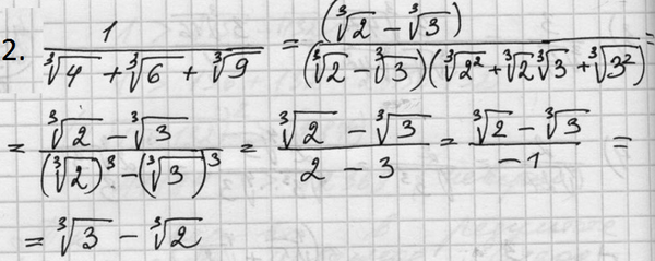
2. Освободитесь от иррациональности в знаменателе
1/(∛4+∛6+∛9)
3. Решите неравенство cos^2x ≥ 0,25 .
4. Исследуйте функцию и постройте график y = -(1/2)cox2x + 1
5. Решите систему уравнений
{ 9^x-2^(y) = 1
{ 9^(-x)-2^(-y) = -1/6
6. Вычислите площадь фигуры, ограниченной графиками функции y=4-x^2 и y=2+|x|
Так как
log_(2) 32^(1/5)=log_(2)2=1, то
log_(5)log_(7)(7*1)=log_(5)1=0.
3.
cos^2x ≥1/4 ⇒ cosx ≤ -1/2 или cosx ≥ 1/2
(-4π/3)+2πn ≤ x ≤ (-2π/6)+2πn, n∈Z или
(-π/3)+2πk ≤ x ≤ (π/3)+2πk, k∈Z
cм. рисунок на единичной окружности и на графике.
4.
См. рисунок
Период Т функции у=cos2x
Т=2π/2=π
График сжимается к оси Ох в два раза.( см. второй график на рисунке)
у=-сos2x - зеркально отражаем относительно оси Ох
у=-(1/2)сos2x - уменьшаем полосу, в которой располагался график в два раза, не от -1 до 1, а от (-1/2) до (1/2)
у=-(1/2)сos2x +1 поднимаем вверх на 1 ед.
5.
Замена переменной
9^x=u
2^y=v
{u-v=1
{(1/u)-(1/v)=-1/6
Метод подстановки:
{u=1+v
{(1/(1+v))-(1/v)=-1/6 ⇒ (v-(1+v))/(v*(1+v))=-1/6 ⇒v*(1+v)=6
v1=2 или v2=3
u1=3 или u2=2
2^y=2 ⇒ y1=1
9^x=3 ⇒ 2x=1 ⇒x1=1/2
2^y=3 ⇒y1=log_(2)3
9^x=2 ⇒ y2=log_(9)2
О т в е т. (1/2; 1); (log_(9)2;log_(2)3)
6.
S=∫^(1)_(-1)(4-x^2-(2+|x|)dx= в силу четности графиков=
=2*∫^(1)_(0)(4-x^2-(2+x)dx=2*∫^(1)_(0)(4-x^2-2-x)dx=
=2*∫^(1)_(0)(4-x^2-2-x)dx=2*∫^(1)_(0)(2-x^2-x)dx=
=2*(2х-(x^3/3)-(x^2/2))|^(1)_(0)=2*(2-(1/3)-(1/2))=2*(2-5/6)=14/6
2. см. приложение

