Задать свой вопрос
*более 50 000 пользователей получили ответ на «Решим всё»
Задача 15091
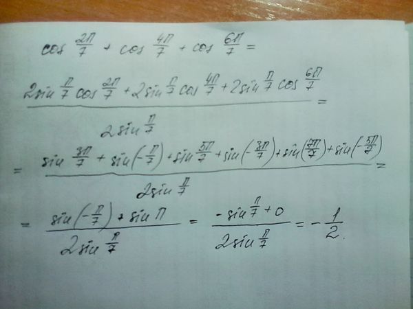
вычислить cos(2p/7)+cos(4p/7)+cos(6p/7)...
Условие
baikovvalentina
17.04.2017
вычислить cos(2p/7)+cos(4p/7)+cos(6p/7)
математика 10-11 класс
8401
Решение
MEOW_LIN
17.04.2017
★
Вопросы к решению (1)
Спрашивает:
u1452551783
почему в знаменателе 2sinP/7 ??
Написать комментарий
Меню
Решим всё
Найти задачу
Категории
Статьи
Тесты
Архив задач
Присоединяйся в ВК