q1 = 10 нКл = 10-8 Кл
q2 = 20 нКл = 2· 10-8 Кл
АС = а =10 см = 10-1м
С В = BD = b = 5 cм =5· 10-2м
___________________
ЕC = ? ЕD = ?
В точке С: согласно принципу суперпозиции (1 картинка прикрепленная) Так как векторы направлены в противоположные стороны, надо из большего по абсолютной величине вычесть меньший, то есть Ес=|Е1-Е2|
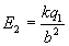
Напряженность, создаваемая зарядом q1, Е1=(2 прикрепленная картинка)зарядом q2(3 прикрепл. карт)
Расчет: Е1 = (4 прикреп кар),Е2 =(5 прикреп карт)
ЕС = 70000 Н/Кл – 9000 Н/Кл =61000 Н/Кл
В точке D: один ученик решает на доске, остальные – в тетрадях.
Вывод. При решении данной задачи мы применили принцип суперпозиции полей, воспользовавшись правилами сложения векторов, формулой напряженности поля точечного заряда, знанием того, как направлен вектор напряженности.


