Задать свой вопрос
*более 50 000 пользователей получили ответ на «Решим всё»
Задача 15068
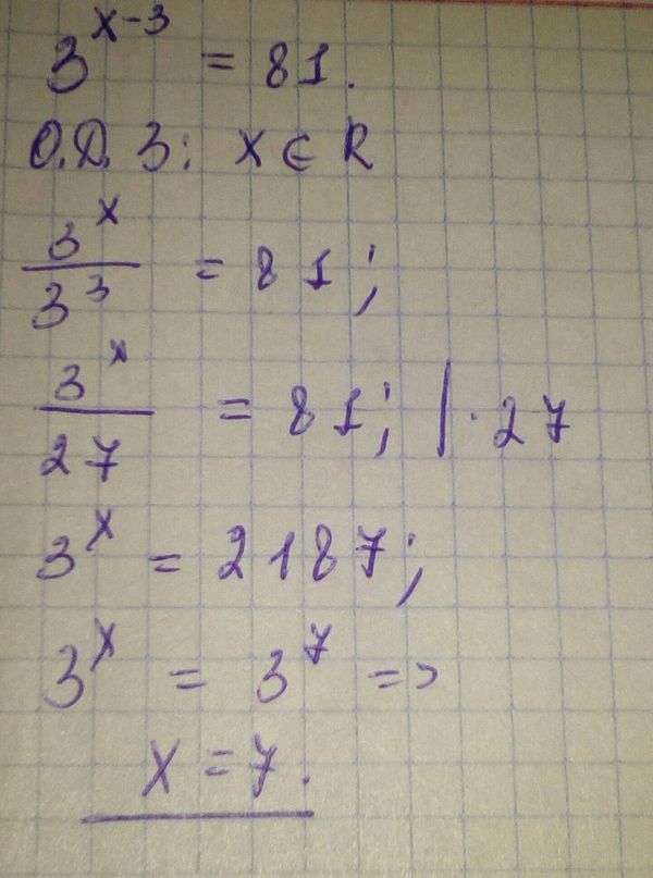
3^(x–3)=81...
Условие
Waiq
15.04.2017
3^(x–3)=81
предмет не задан
1253
Решение
vk165902784
15.04.2017
★
Все решения
SOVA
15.04.2017
3^(x-3)=3^4
x-3=4
x=7
Написать комментарий
Меню
Решим всё
Найти задачу
Категории
Статьи
Тесты
Архив задач
Присоединяйся в ВК