Задать свой вопрос   *более 50 000 пользователей получили ответ на «Решим всё»

Задача 15066 Найдите высоту правильной треугольной...

Условие

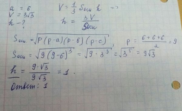
Найдите высоту правильной треугольной пирамиды, если стороны ее основания равны 6, а объем равен 3*sqrt(3)

предмет не задан 1899

Решение

Все решения

V=(1/3)S(осн.)*H
S(осн.)=(1/2)*6*6*sin60 градусов=9sqrt(3)
H=3V/S=3*3sqrt(3)/9sqrt(3)=1
О т в е т. 1

Написать комментарий

Меню

Присоединяйся в ВК