Задать свой вопрос   *более 50 000 пользователей получили ответ на «Решим всё»

Задача 15062 В правильной шестиугольной призме...

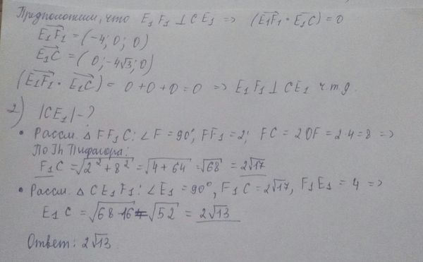
Условие

В правильной шестиугольной призме AB...E1F1 со стороной основания 4 и боковым ребром 2

а) Опустите перпендикуляр из точки С на прямую E1F1.
б) Найдите его длину.

предмет не задан 1731

Решение

Написать комментарий

Меню

Присоединяйся в ВК