Задать свой вопрос   *более 50 000 пользователей получили ответ на «Решим всё»

Задача 14993 В электрической сети напряжение...

Условие

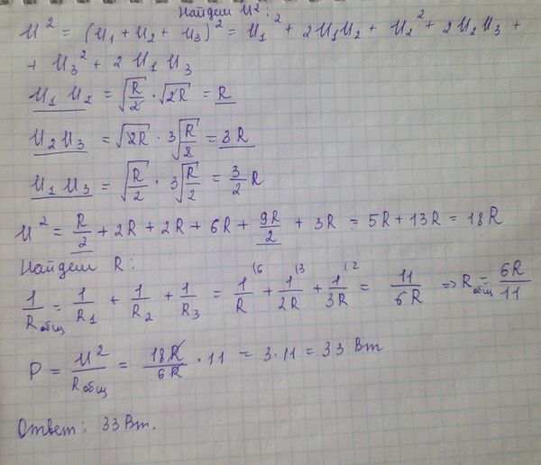
В электрической сети напряжение поддерживается постоянным. При подключении к этой сети трёх последовательно соединённых резисторов с сопротивлениями R, 2R и 3R в цепи выделяется мощность 3 Вт. Какая мощность будет выделяться в цепи при параллельном соединении этих трех резисторов и подключении к той же сети?

предмет не задан 976

Решение

Написать комментарий

Меню

Присоединяйся в ВК