Задать свой вопрос
*более 50 000 пользователей получили ответ на «Решим всё»
Задача 14933
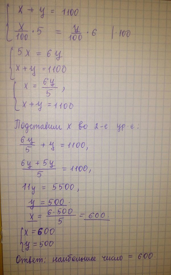
Сумма двух чисел равна 1100. Найдите...
Условие
МишаП
10.04.2017
Сумма двух чисел равна 1100. Найдите наибольшее из них, если 6% одного из них равны 5% другого.
предмет не задан
1210
Решение
vk165902784
10.04.2017
★
Написать комментарий
Меню
Решим всё
Найти задачу
Категории
Статьи
Тесты
Архив задач
Присоединяйся в ВК