Задать свой вопрос   *более 50 000 пользователей получили ответ на «Решим всё»

Задача 14839 ...

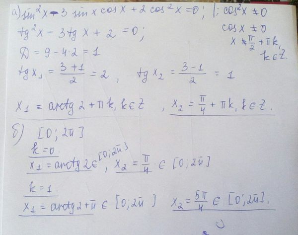
Условие

а) Решите уравнение sin^2x–3sinxcosx+2cos^2x=0.
б) Найдите все корни этого уравнения, принадлежащие промежутку [0; 2π].

математика 10-11 класс 3562

Решение

Написать комментарий

Меню

Присоединяйся в ВК