Задать свой вопрос
*более 50 000 пользователей получили ответ на «Решим всё»
Задача 14838
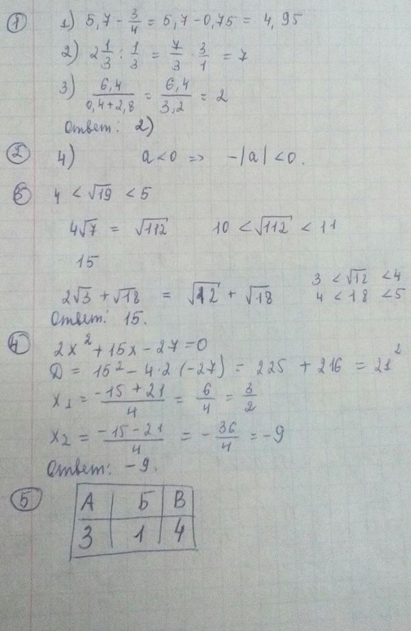
Все на картинке...
Условие
ИраК
08.04.2017
Все на картинке
предмет не задан
918
Решение
vk165902784
08.04.2017
★
Написать комментарий
Меню
Решим всё
Найти задачу
Категории
Статьи
Тесты
Архив задач
Присоединяйся в ВК