Задать свой вопрос   *более 50 000 пользователей получили ответ на «Решим всё»

Задача 14824 Трое стрелков, для которых вероятности...

Условие

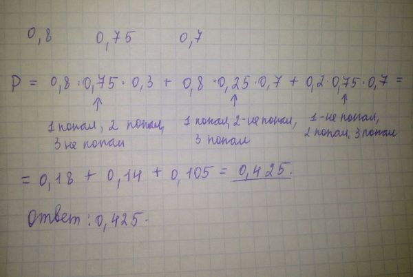
Трое стрелков, для которых вероятности попадания в цель соответственно равны 0,8, 0,75 и 0,7, делают по одному выстрелу. Какова вероятность того, что только два стрелка попадут в цель?

математика 10-11 класс 9652

Решение

Написать комментарий

Меню

Присоединяйся в ВК