Задать свой вопрос   *более 50 000 пользователей получили ответ на «Решим всё»

Задача 14806 Периметры двух подобных многоугольников...

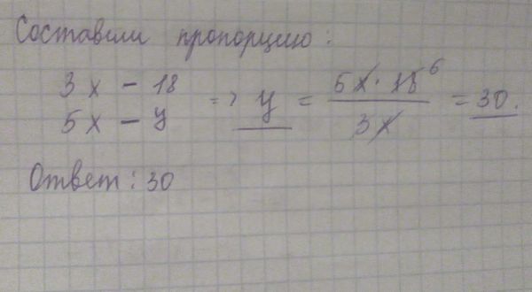
Условие

Периметры двух подобных многоугольников относятся как 3:5. Площадь меньшего многоугольника равна 18. Найдите площадь большего многоугольника.

математика 10-11 класс 9025

Решение

Периметры подобных многоугольников относятся как длины соответствующих сторон.

Площади подобных многоугольников относятся как квадраты длин соответствующих сторон.

s:S=(3)^2:5^2
S=25*18/9=50
О т в е т. 50

Все решения

Написать комментарий

Меню

Присоединяйся в ВК