Задать свой вопрос
*более 50 000 пользователей получили ответ на «Решим всё»
Задача 14801
Найдите значение выражения...
Условие
slava191
07.04.2017
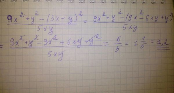
Найдите значение выражения (9x^2+y^2-(3x-y)^2):(5xy)
математика 10-11 класс
3458
Решение
vk165902784
07.04.2017
★
Написать комментарий
Меню
Решим всё
Найти задачу
Категории
Статьи
Тесты
Архив задач
Присоединяйся в ВК