Задать свой вопрос   *более 50 000 пользователей получили ответ на «Решим всё»

Задача 1477 Семья состоит из мужа, жены и их...

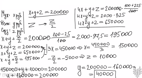
Условие

Семья состоит из мужа, жены и их дочери-студентки. Если бы зарплата мужа увеличилась вчетверо, то общий доход семьи вырос бы на 225%. Если бы стипендия дочери уменьшилась вдвое, общий доход семьи сократился бы на 2,5%. Сколько составляет зарплата жены, если общий доход семьи составляет 200 000 рублей в месяц?

математика 6515

Все решения

ответ 40 000

Написать комментарий

Меню

Присоединяйся в ВК