Задать свой вопрос
*более 50 000 пользователей получили ответ на «Решим всё»
Задача 14695
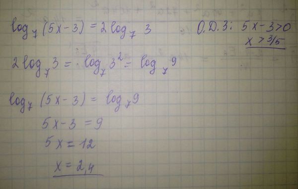
Найдите корень уравнения log7(5x-3) =...
Условие
slava191
03.04.2017
Найдите корень уравнения log7(5x-3) = 2log7 3
математика 10-11 класс
10257
Решение
vk165902784
03.04.2017
★
Написать комментарий
Меню
Решим всё
Найти задачу
Категории
Статьи
Тесты
Архив задач
Присоединяйся в ВК