Задать свой вопрос   *более 50 000 пользователей получили ответ на «Решим всё»

Задача 14614 ...

Условие

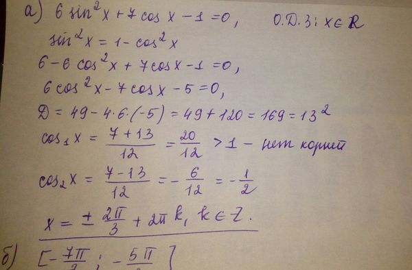
а) Решите уравнение 6sin2x+7cosx–1=0
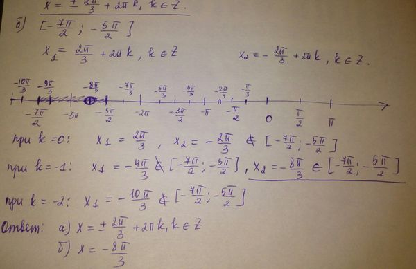
б) Найдите все корни этого уравнения, принадлежащие отрезку [–7π/2; –5π/2]

предмет не задан 3100

Решение

Написать комментарий

Меню

Присоединяйся в ВК