Задать свой вопрос   *более 50 000 пользователей получили ответ на «Решим всё»

Задача 14539 Отец и сын должны вскопать огород....

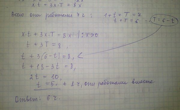
Условие

Отец и сын должны вскопать огород. Производительность работы у отца в три раза меньше, чем у сына. Работая вместе, они могут вскопать огород за 3 часа. Однако вместе они проработали только один час, потом некоторое время работал один отец, а заканчивал работу один сын. Сколько времени в общей сложности проработал отец, если вся работа на огороде была выполнена за 7 часов?

предмет не задан 1165

Решение

Написать комментарий

Меню

Присоединяйся в ВК