Задать свой вопрос   *более 50 000 пользователей получили ответ на «Решим всё»

Задача 14521 Найдите тангенс угла, который образует с...

Условие

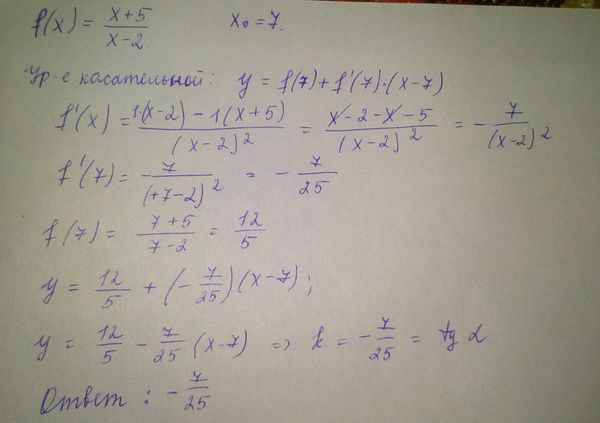
Найдите тангенс угла, который образует с положительным направлением оси абсцисс касательная, проведенная к графику функции f(x)=(x+5)/(x–2), в точке x0=7 этого графика.

предмет не задан 1347

Решение

Написать комментарий

Меню

Присоединяйся в ВК