Задать свой вопрос   *более 50 000 пользователей получили ответ на «Решим всё»

Задача 14520 ...

Условие

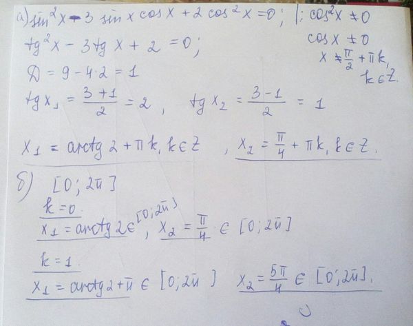
a) Решите уравнение sin2x–3sinxcosx+2cos2x=0.
б) Найдите все корни этого уравнения, принадлежащие промежутку [0; 2π].

предмет не задан 2912

Решение

Написать комментарий

Меню

Присоединяйся в ВК