Задать свой вопрос
*более 50 000 пользователей получили ответ на «Решим всё»
Задача 14310
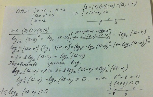
3log(x-3) (6-x) +1 < = 14 (log (x-3)...
Условие
u95153133205
13.03.2017
3log(x-3) (6-x) +1 < = 14 (log (x-3) (x^2 -9x+18)^2
предмет не задан
3871
Решение
sumets6152
14.03.2017
★
Вопросы к решению (1)
Спрашивает:
u95153133205
Так это же не то
Отвечает:
sumets6152
Извините, перепутала.
Написать комментарий
Меню
Решим всё
Найти задачу
Категории
Статьи
Тесты
Архив задач
Присоединяйся в ВК