Задать свой вопрос
*более 50 000 пользователей получили ответ на «Решим всё»
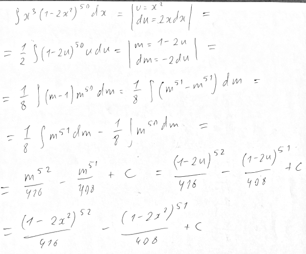
Задача 14261
...
Условие
slava191
11.03.2017
Вычислить интеграл ∫x^3(1-2x^2)^(50)dx
математика ВУЗ
2458
Решение
Ответ:
В решение
Написать комментарий
Меню
Решим всё
Найти задачу
Категории
Статьи
Тесты
Архив задач
Присоединяйся в ВК