Задать свой вопрос   *более 50 000 пользователей получили ответ на «Решим всё»

Задача 14259 вычислить объем тела, образованным...

Условие

вычислить объем тела, образованным вращением фигуры, ограниченной указанными линиями вокруг указанной оси

y=sinx, y=0

математика ВУЗ 8755

Решение

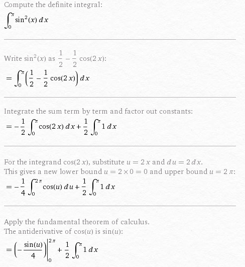
V = Pi*∫^(Pi)_(0)sin^2xdx = Pi*Pi/2 = Pi^2/2

Вычисление определенного интеграла на картинках.

Написать комментарий

Меню

Присоединяйся в ВК