Задать свой вопрос   *более 50 000 пользователей получили ответ на «Решим всё»

Задача 1424 Найдите корень уравнения (x+7)^3=216....

Условие

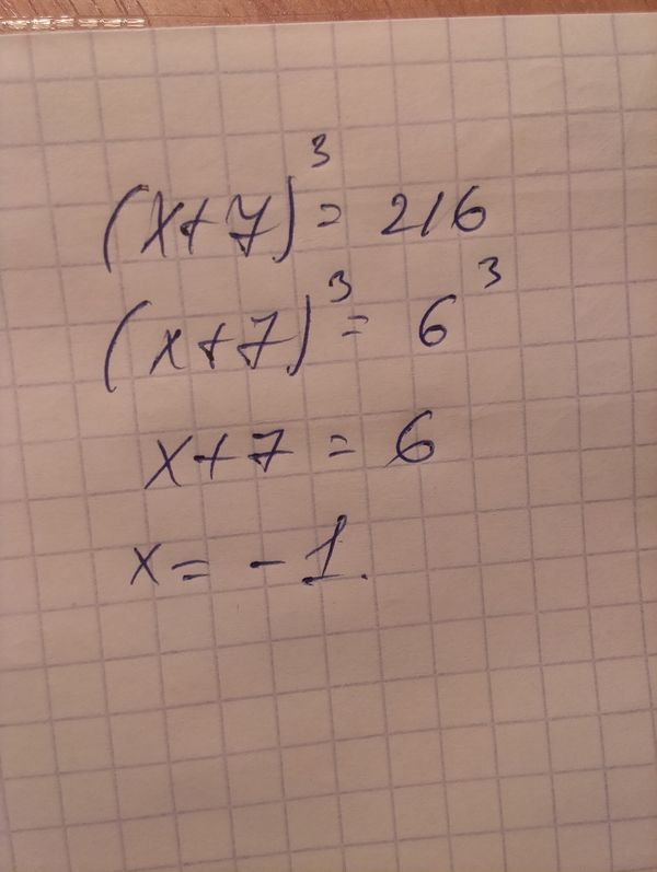
Найдите корень уравнения (x+7)^3=216.

математика 10-11 класс 4828

Решение

Не советую 216 возводить в 3 степень или раскрывать скобку, проще подогнать x=-1

Ответ: -1

Все решения

Написать комментарий

Меню

Присоединяйся в ВК